Упр.530 ГДЗ Макарычев Миндюк 9 класс (Алгебра)
Решение #1
Решение #2

Рассмотрим вариант решения задания из учебника Макарычев, Миндюк, Нешков 9 класс, Просвещение:
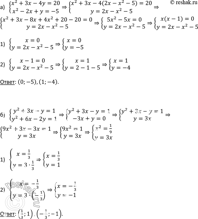
530. Решите систему уравнений:
а) система
x2+3x-4y-20,
x2+y=-5;
б) система
x2+3x-y=1,
y2+6x-2y=1.
*размещая тексты в комментариях ниже, вы автоматически соглашаетесь с пользовательским соглашением