Упр.528 ГДЗ Макарычев Миндюк 9 класс (Алгебра)
Решение #1
Решение #2

Рассмотрим вариант решения задания из учебника Макарычев, Миндюк, Нешков 9 класс, Просвещение:
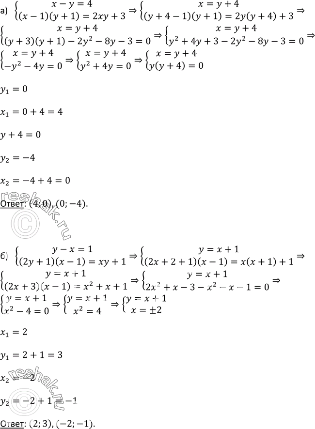
528. Найдите все решения системы уравнений:
а) система
x-y=4,
(x-1)(y+1)=2xy+3;
б) система
y-x=1,
(2y+1)(x-1)=xy+1;
в) система
2x-y=5,
(x+1)(y+4)=2xy-1;
г) система
x+y=1,
(x-1)(y+5)=y2-12.
*размещая тексты в комментариях ниже, вы автоматически соглашаетесь с пользовательским соглашением