Упр.920 ГДЗ Макарычев Миндюк 9 класс (Алгебра)
Решение #1
Решение #2

Рассмотрим вариант решения задания из учебника Макарычев, Миндюк, Нешков 9 класс, Просвещение:
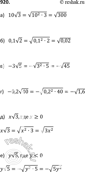
920. Внесите множитель под знак корня:
а) 10 корень 3; в) -3 корень 5; д) x корень 3, где x>= 0;
б) 0,1 корень 2; г)-0,2 корень 40; е) y корень 5, где y < 0.
*размещая тексты в комментариях ниже, вы автоматически соглашаетесь с пользовательским соглашением