Упр.873 ГДЗ Алимов 10-11 класс (Алгебра)
Решение #1
Решение #2

Рассмотрим вариант решения задания из учебника Алимов, Колягин, Ткачёва 11 класс, Просвещение:
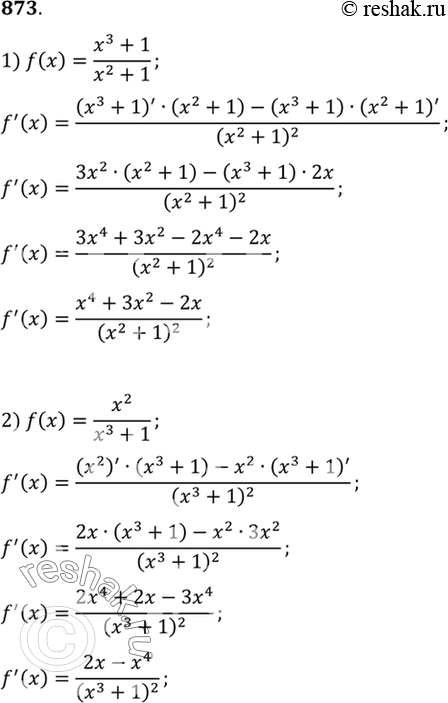
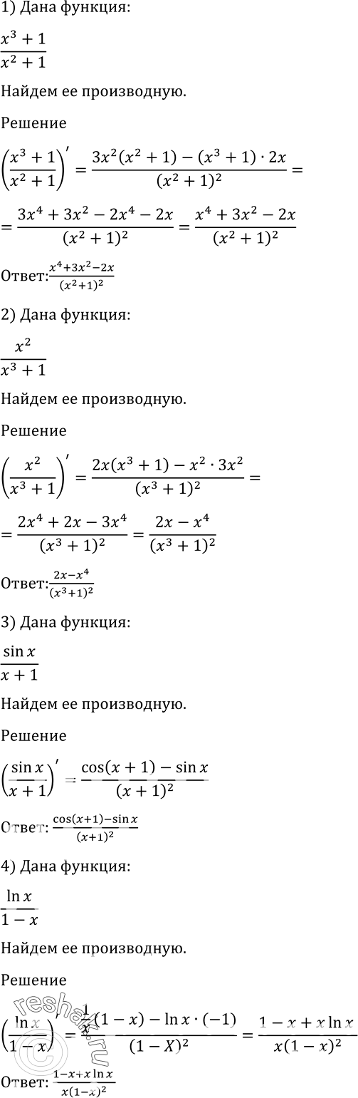
873 1) (x3+1)/(x2+1);
2) x2/(x3+1);
3) sinx/(x+1);
4) lnx/(1-x).
*размещая тексты в комментариях ниже, вы автоматически соглашаетесь с пользовательским соглашением