Упр.705 ГДЗ Алимов 10-11 класс (Алгебра)
Решение #1
Решение #2

Рассмотрим вариант решения задания из учебника Алимов, Колягин, Ткачёва 11 класс, Просвещение:
Найти наименьший положительный период функции (705—706).
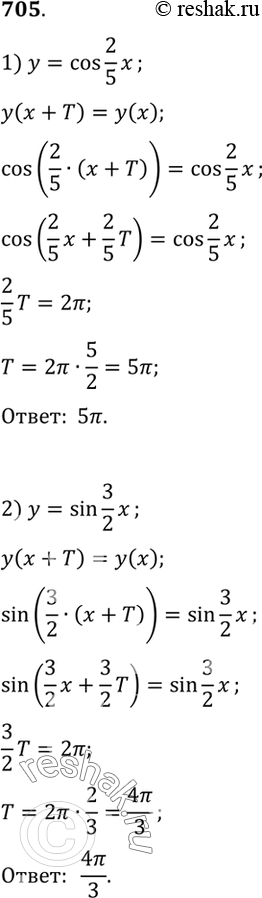
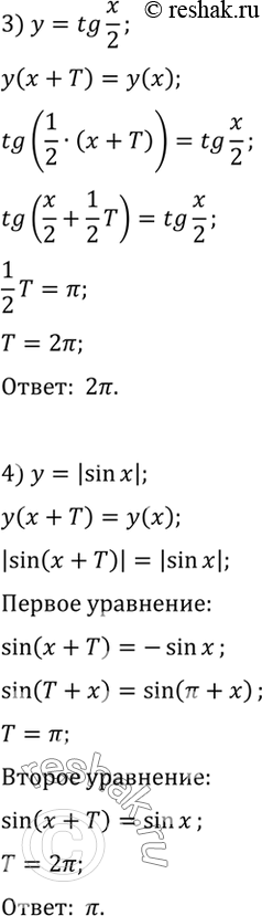
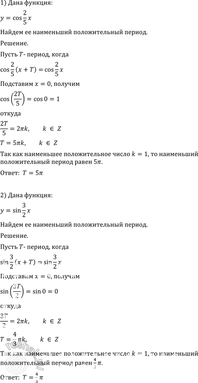
705
1) у = cos 2x/5;
2) у = sin 3x/2
3) у= tgx/2;
4) y = |sinx|.
*размещая тексты в комментариях ниже, вы автоматически соглашаетесь с пользовательским соглашением