Упр.330 ГДЗ Алимов 10-11 класс (Алгебра)
Решение #1
Решение #2

Рассмотрим вариант решения задания из учебника Алимов, Колягин, Ткачёва 10 класс, Просвещение:
330 Сравнить значения выражений:
1)1/2 + lg3 и lg19 - lg2;
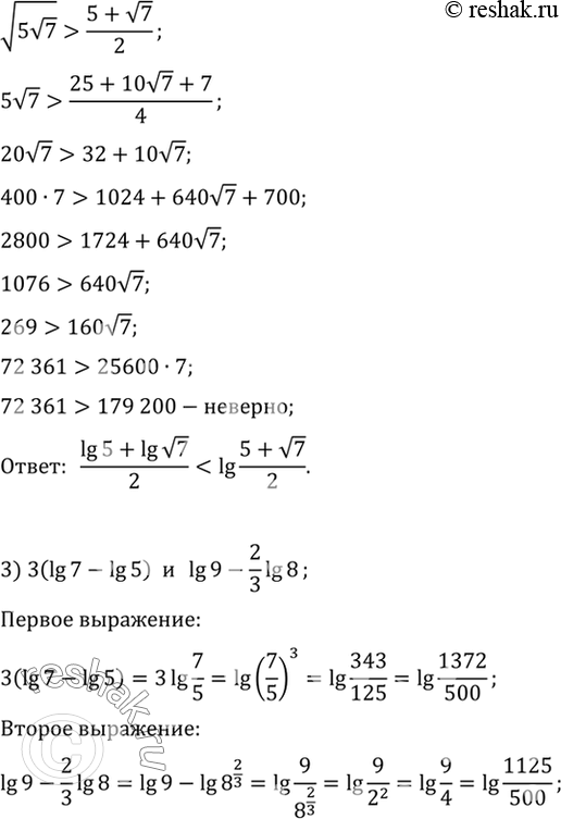
2) (lg5 + lg корень 7)/2 и lg^((5+ корень 7)/2);
3) 3(lg7 - lg5) и lg9 - 2/3lg8;
4) lglglg50 и lg^3(50).
*размещая тексты в комментариях ниже, вы автоматически соглашаетесь с пользовательским соглашением