Упр.30 ГДЗ Алимов 10-11 класс (Алгебра)
Решение #1
Решение #2

Рассмотрим вариант решения задания из учебника Алимов, Колягин, Ткачёва 10 класс, Просвещение:
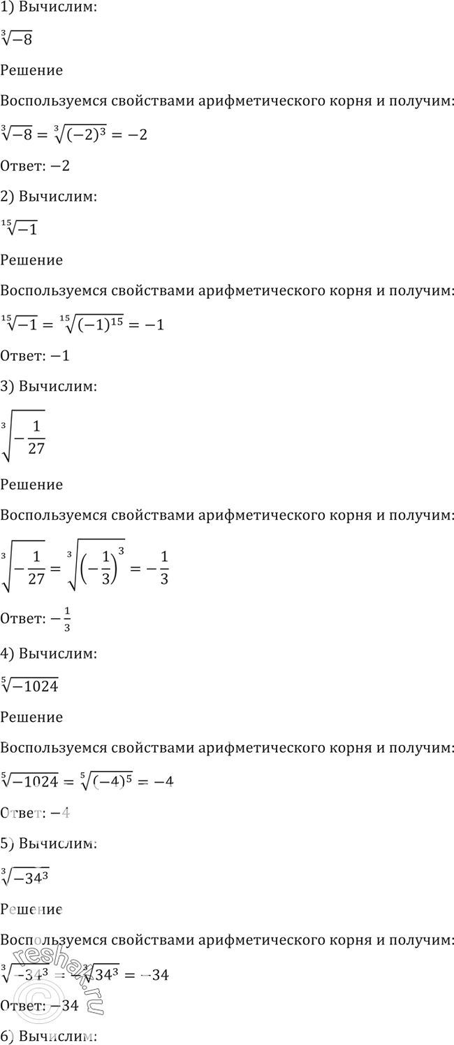
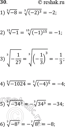
30. 1) корень 3 степени -8;
2) корень 15 степени -1;
3) корень 3 степени -1/27.
*размещая тексты в комментариях ниже, вы автоматически соглашаетесь с пользовательским соглашением