№512 ГДЗ Атанасян 7-9 класс по геометрии (Геометрия)

Решение #1

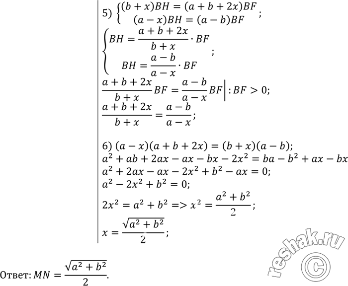
Изображение Основания трапеции равны а и b. Отрезок с концами на боковых сторонах трапеции, параллельный основаниям, разделяет трапецию на две равновеликие трапеции. Найдите длину...
Дополнительное изображение

Рассмотрим вариант решения задания из учебника Атанасян, Бутузов 8 класс, Просвещение:
Основания трапеции равны а и b. Отрезок с концами на боковых сторонах трапеции, параллельный основаниям, разделяет трапецию на две равновеликие трапеции. Найдите длину этого отрезка.
*Цитирирование задания со ссылкой на учебник производится исключительно в учебных целях для лучшего понимания разбора решения задания.
*размещая тексты в комментариях ниже, вы автоматически соглашаетесь с пользовательским соглашением