№459 ГДЗ Атанасян 7-9 класс по геометрии (Геометрия)

Решение #1

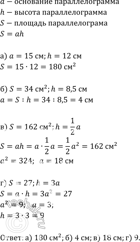
Изображение Пусть а — основание, h — высота, a S — площадь параллелограмма. Найдите: a) S, если а = 15 см, h = 12 см; б) а, если S = 34cm2, h = 8,5 см; в) а, если S = 162cm2, h =...

Рассмотрим вариант решения задания из учебника Атанасян, Бутузов 8 класс, Просвещение:
Пусть а — основание, h — высота, a S — площадь параллелограмма. Найдите: a) S, если а = 15 см, h = 12 см; б) а, если S = 34cm2, h = 8,5 см; в) а, если S = 162cm2, h = 1/2а; г) h, если h = 3а, S= 27.
*Цитирирование задания со ссылкой на учебник производится исключительно в учебных целях для лучшего понимания разбора решения задания.
*размещая тексты в комментариях ниже, вы автоматически соглашаетесь с пользовательским соглашением